20+ pages select reagents from the table to carry out this transformation 725kb. Enter your answer as a series of letters ie. N Review Const The engine in an imaginary sports car can provide constant power to the wheels over a range of speeds from 0 to 70 miles per hour mph. H2 Lindlar catalyst f. Check also: select and learn more manual guide in select reagents from the table to carry out this transformation LiAlHA then H3Of d.
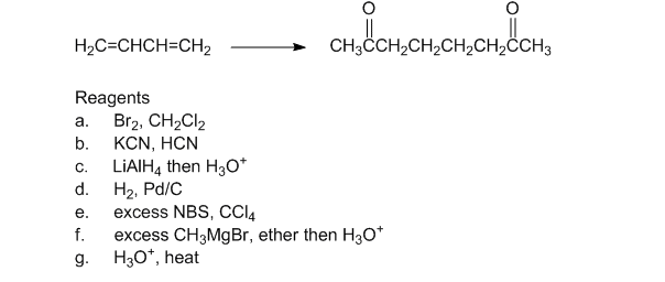
Table of Reagents a. Select reagents from the table to show how you would carry out this transformation.

Select Reagents From The Table To Show How You Would Chegg
| Title: Select Reagents From The Table To Show How You Would Chegg |
| Format: ePub Book |
| Number of Pages: 195 pages Select Reagents From The Table To Carry Out This Transformation |
| Publication Date: November 2021 |
| File Size: 2.2mb |
| Read Select Reagents From The Table To Show How You Would Chegg |
Show transcribed image text H3C CH2- H3C CH3 Select reagents from the table to show how you would carry out this synthesis Reagents Available a.

Select reagents from the table to show how you would carry out this synthesis. Select from the Table provided the reagent you would use to carry out each of the transformations see further Show transcribed picture text Select from the Table granted the reagent you would representation to raise extinguished each of the transformations adown. Select reagents from the table to show how you would carry out this synthesis. Enter your answer as a single string of letters representing the reagents in the order that you wish to. H3C CH2 H3C Select reagents from the table to show how you would carry out this synthesis. BH3 then H202 e.

Select Reagents From The Table To Carry Out This Chegg
| Title: Select Reagents From The Table To Carry Out This Chegg |
| Format: ePub Book |
| Number of Pages: 324 pages Select Reagents From The Table To Carry Out This Transformation |
| Publication Date: May 2020 |
| File Size: 2.2mb |
| Read Select Reagents From The Table To Carry Out This Chegg |

Select Reagents From The Table To Show How You Would Chegg
| Title: Select Reagents From The Table To Show How You Would Chegg |
| Format: ePub Book |
| Number of Pages: 243 pages Select Reagents From The Table To Carry Out This Transformation |
| Publication Date: May 2017 |
| File Size: 1.8mb |
| Read Select Reagents From The Table To Show How You Would Chegg |
![]()
Problem Which Set Of Reagents Will Best Acplish This Transformation
| Title: Problem Which Set Of Reagents Will Best Acplish This Transformation |
| Format: PDF |
| Number of Pages: 202 pages Select Reagents From The Table To Carry Out This Transformation |
| Publication Date: July 2021 |
| File Size: 3mb |
| Read Problem Which Set Of Reagents Will Best Acplish This Transformation |

Select Reagents From The Table To Show How You Would Chegg
| Title: Select Reagents From The Table To Show How You Would Chegg |
| Format: PDF |
| Number of Pages: 232 pages Select Reagents From The Table To Carry Out This Transformation |
| Publication Date: March 2021 |
| File Size: 5mb |
| Read Select Reagents From The Table To Show How You Would Chegg |

Select Reagents From The Table To Carry Out This Chegg
| Title: Select Reagents From The Table To Carry Out This Chegg |
| Format: ePub Book |
| Number of Pages: 333 pages Select Reagents From The Table To Carry Out This Transformation |
| Publication Date: June 2018 |
| File Size: 800kb |
| Read Select Reagents From The Table To Carry Out This Chegg |

Dear Dakota Grandparent Alienation Grandparentalienation Letter To My Ex Quotes For Kids Parental Alienation
| Title: Dear Dakota Grandparent Alienation Grandparentalienation Letter To My Ex Quotes For Kids Parental Alienation |
| Format: ePub Book |
| Number of Pages: 146 pages Select Reagents From The Table To Carry Out This Transformation |
| Publication Date: May 2017 |
| File Size: 2.2mb |
| Read Dear Dakota Grandparent Alienation Grandparentalienation Letter To My Ex Quotes For Kids Parental Alienation |

From The Table Of Reagents Select Those That Would Chegg
| Title: From The Table Of Reagents Select Those That Would Chegg |
| Format: ePub Book |
| Number of Pages: 310 pages Select Reagents From The Table To Carry Out This Transformation |
| Publication Date: April 2021 |
| File Size: 1.7mb |
| Read From The Table Of Reagents Select Those That Would Chegg |

Select Reagents From The Table To Carry Out This Chegg
| Title: Select Reagents From The Table To Carry Out This Chegg |
| Format: PDF |
| Number of Pages: 162 pages Select Reagents From The Table To Carry Out This Transformation |
| Publication Date: July 2018 |
| File Size: 2.1mb |
| Read Select Reagents From The Table To Carry Out This Chegg |

Select Reagents From The Table To Carry Out This Chegg
| Title: Select Reagents From The Table To Carry Out This Chegg |
| Format: PDF |
| Number of Pages: 342 pages Select Reagents From The Table To Carry Out This Transformation |
| Publication Date: October 2018 |
| File Size: 800kb |
| Read Select Reagents From The Table To Carry Out This Chegg |

Wind Glas Reagenzien Vase Hydrokultur Getrocke Blume Kleine Vase Preis 3 94 Kostenloser Versand Fashionde Blu Small Vase Dried Flowers Vases Decor
| Title: Wind Glas Reagenzien Vase Hydrokultur Getrocke Blume Kleine Vase Preis 3 94 Kostenloser Versand Fashionde Blu Small Vase Dried Flowers Vases Decor |
| Format: ePub Book |
| Number of Pages: 323 pages Select Reagents From The Table To Carry Out This Transformation |
| Publication Date: June 2017 |
| File Size: 3.4mb |
| Read Wind Glas Reagenzien Vase Hydrokultur Getrocke Blume Kleine Vase Preis 3 94 Kostenloser Versand Fashionde Blu Small Vase Dried Flowers Vases Decor |
![]()
Which Set Of Reagents Would Most Likely Br Clutch Prep
| Title: Which Set Of Reagents Would Most Likely Br Clutch Prep |
| Format: ePub Book |
| Number of Pages: 156 pages Select Reagents From The Table To Carry Out This Transformation |
| Publication Date: February 2018 |
| File Size: 3.4mb |
| Read Which Set Of Reagents Would Most Likely Br Clutch Prep |
H20 H2SO4 HgSO4 i. H3C CH2 H3C Select reagents from the table to show how you would carry out this synthesis. In no case will more than 3 steps be required.
Here is all you have to to read about select reagents from the table to carry out this transformation Neglect friction and air. H20 H2SO4 HgSO4 i. Enter your answer as a single string of letters representing the reagents in the order that you wish to use them ie. Select reagents from the table to show how you would chegg from the table of reagents select those that would chegg dear dakota grandparent alienation grandparentalienation letter to my ex quotes for kids parental alienation which set of reagents would most likely br clutch prep problem which set of reagents will best acplish this transformation wind glas reagenzien vase hydrokultur getrocke blume kleine vase preis 3 94 kostenloser versand fashionde blu small vase dried flowers vases decor If more than one reagent is necessary for a particular stepenter the letters in the order that you wish to use the reagents without punctuation ie.
0 Comments